Wilson Hydro personnel are experts in the fields of hydrology and hydraulics. We have been involved in projects throughout the Midwest varying from routine storm sewer design to detailed hydrologic and hydraulic modeling. Representative clients include private sector clients, government agencies, industrial clients, other consulting engineering firms and legal sector clients.

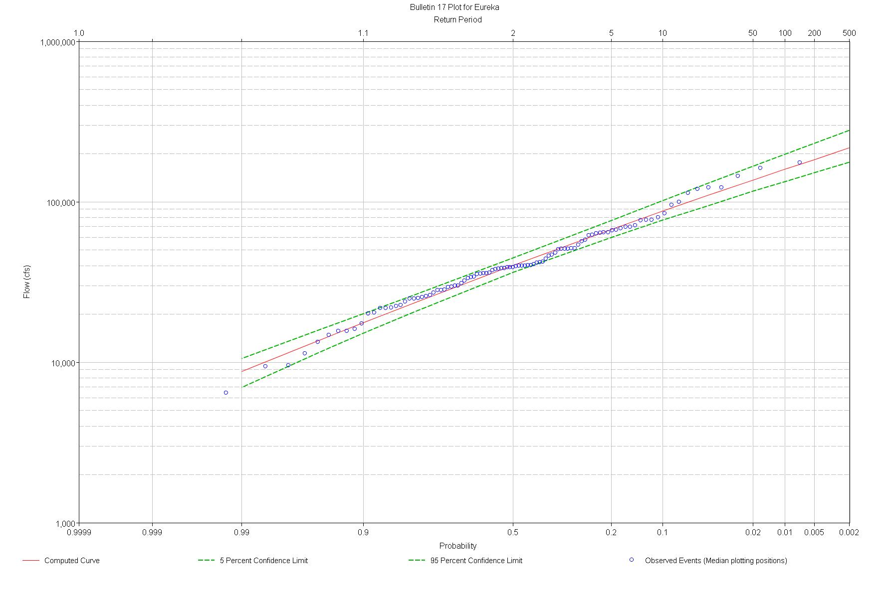
Statistical Analysis of Rainfall/Streamflow Data

Hydrologic Analysis

Floodplain Analysis and Mapping